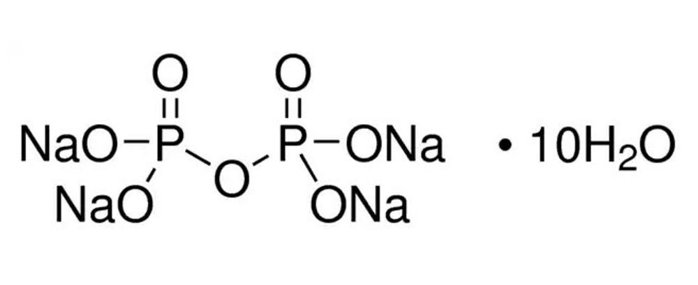
Выберите формулу гидрофосфата