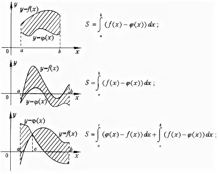
Вычисление фигур с помощью определенного интеграла