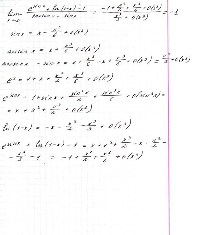
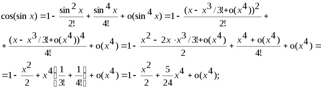
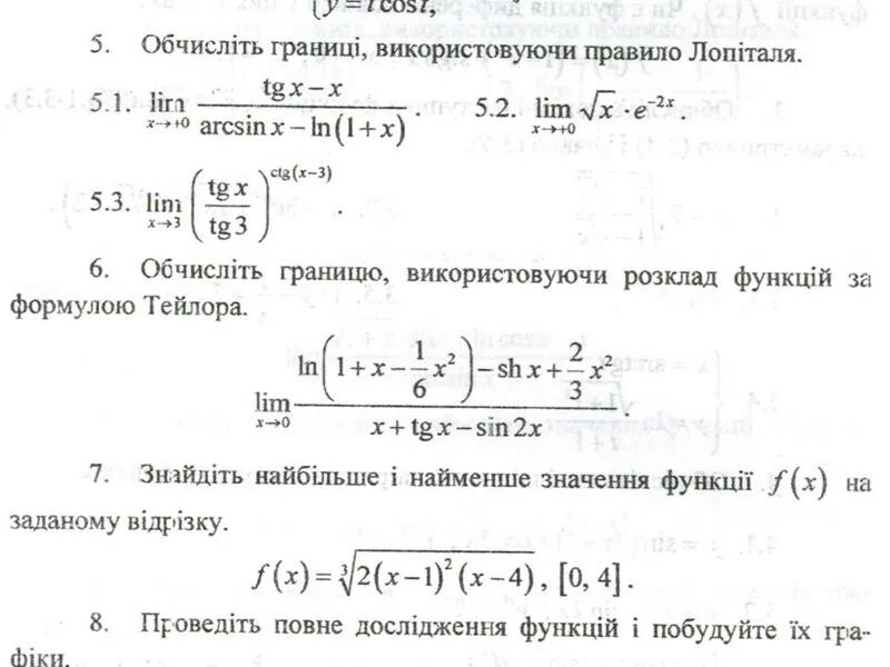
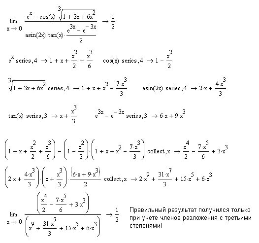
Вычисление пределов с помощью формулы тейлора