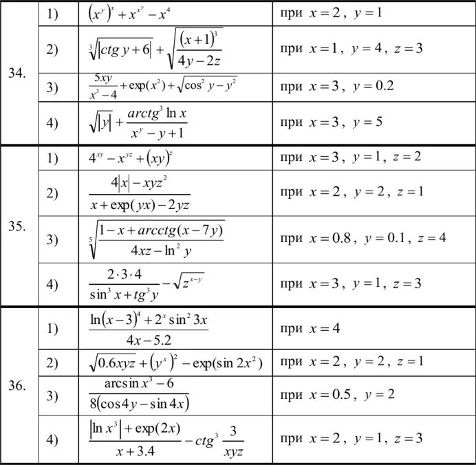
Вычисление значений арифметических выражений