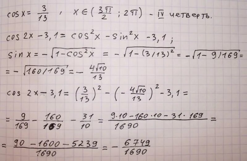
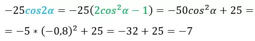
Вычисли cos 2