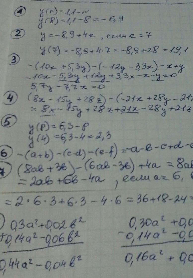
Вычисли y h