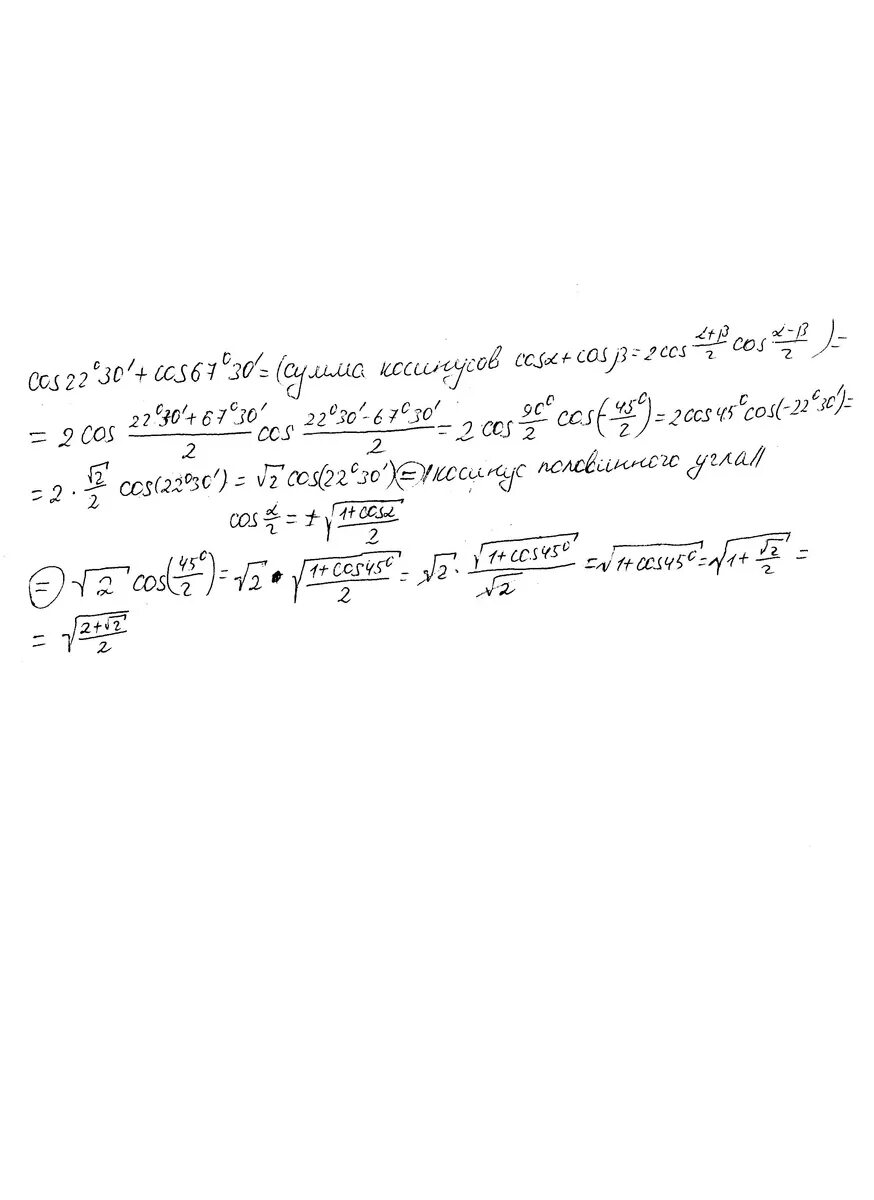
Вычислить cos 22 30