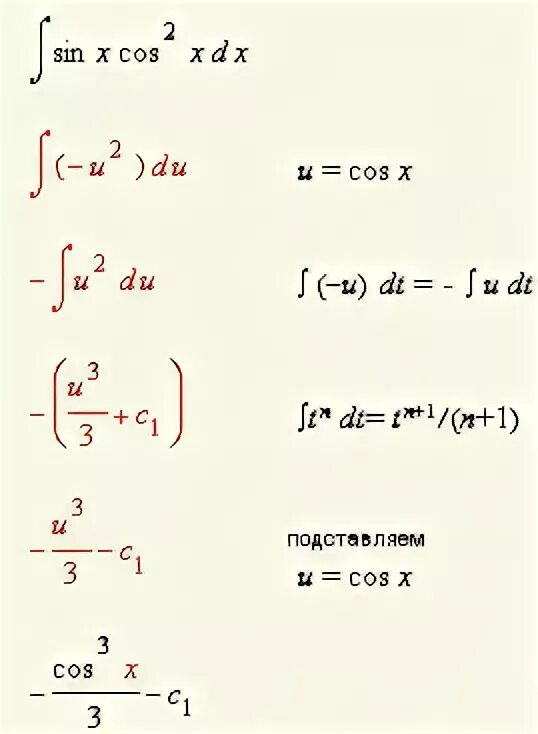
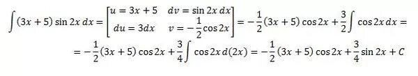
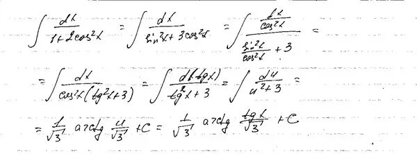
Вычислить интеграл dx cos 2x