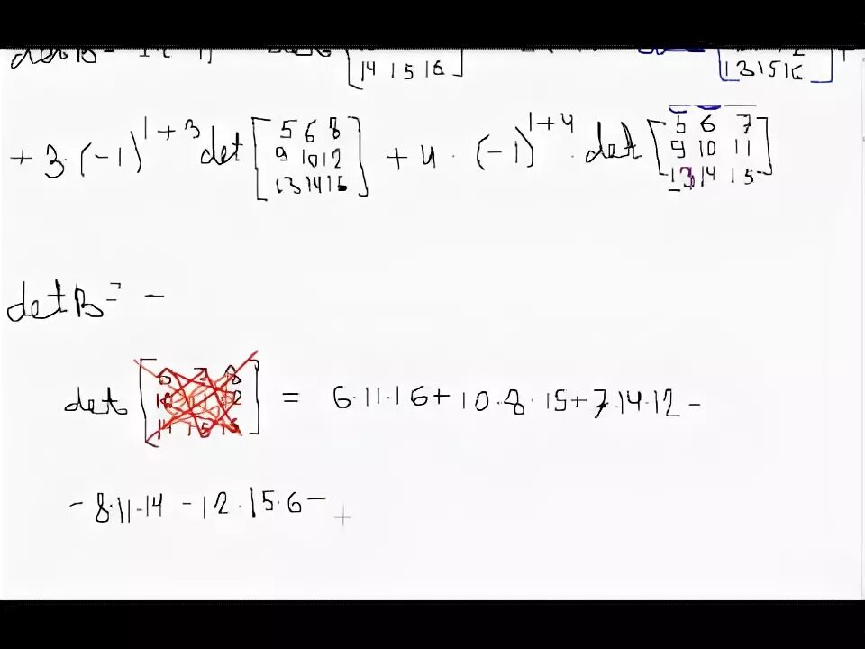
Вычислить определитель 4х4