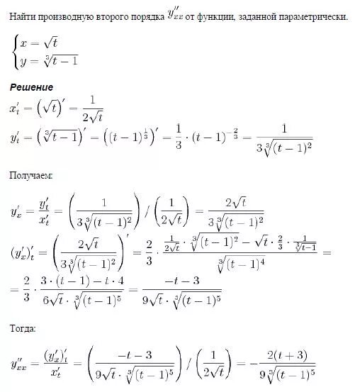
Вычислить производную второго порядка функции