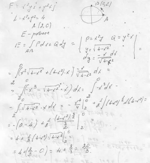
Вычислить работу силы при перемещении