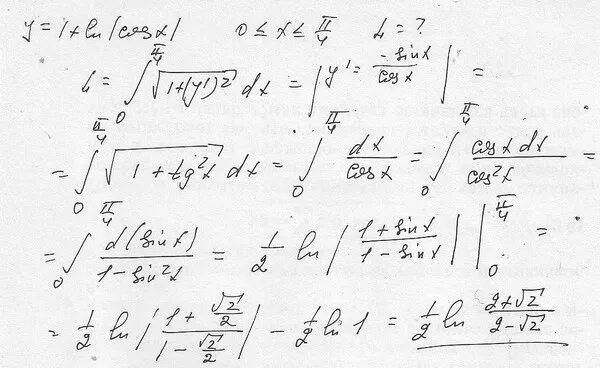
Вычислить y y 2 3x 4