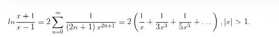
Вычислить значение ряда с заданной точностью