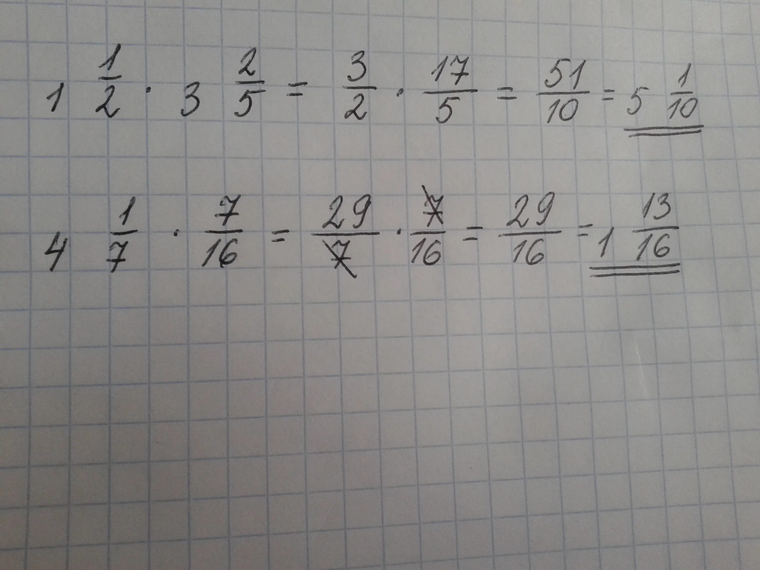
Вычислите 1 3 умножить 4 5