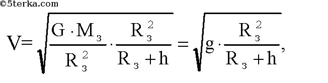
Вычислите 1 космическую