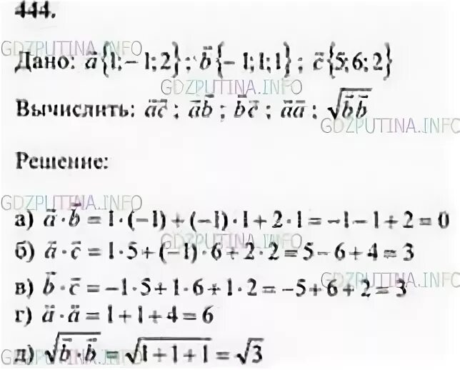
Вычислите 11 13 11 10 11