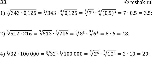
Вычислите 125 5 в 5 степени