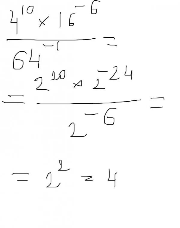
Вычислите 16 в степени 5 4