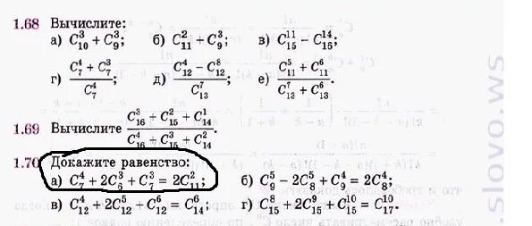
Вычислите 169 3 0 36