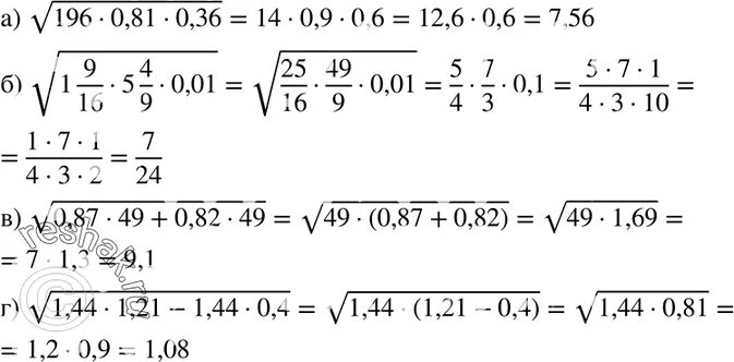
Вычислите 196 10 0 01