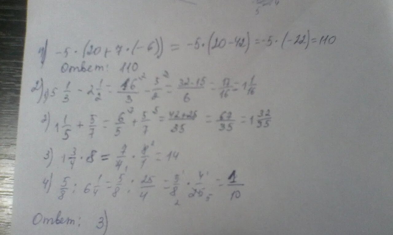
Вычислите 2 3 плюс 1 4