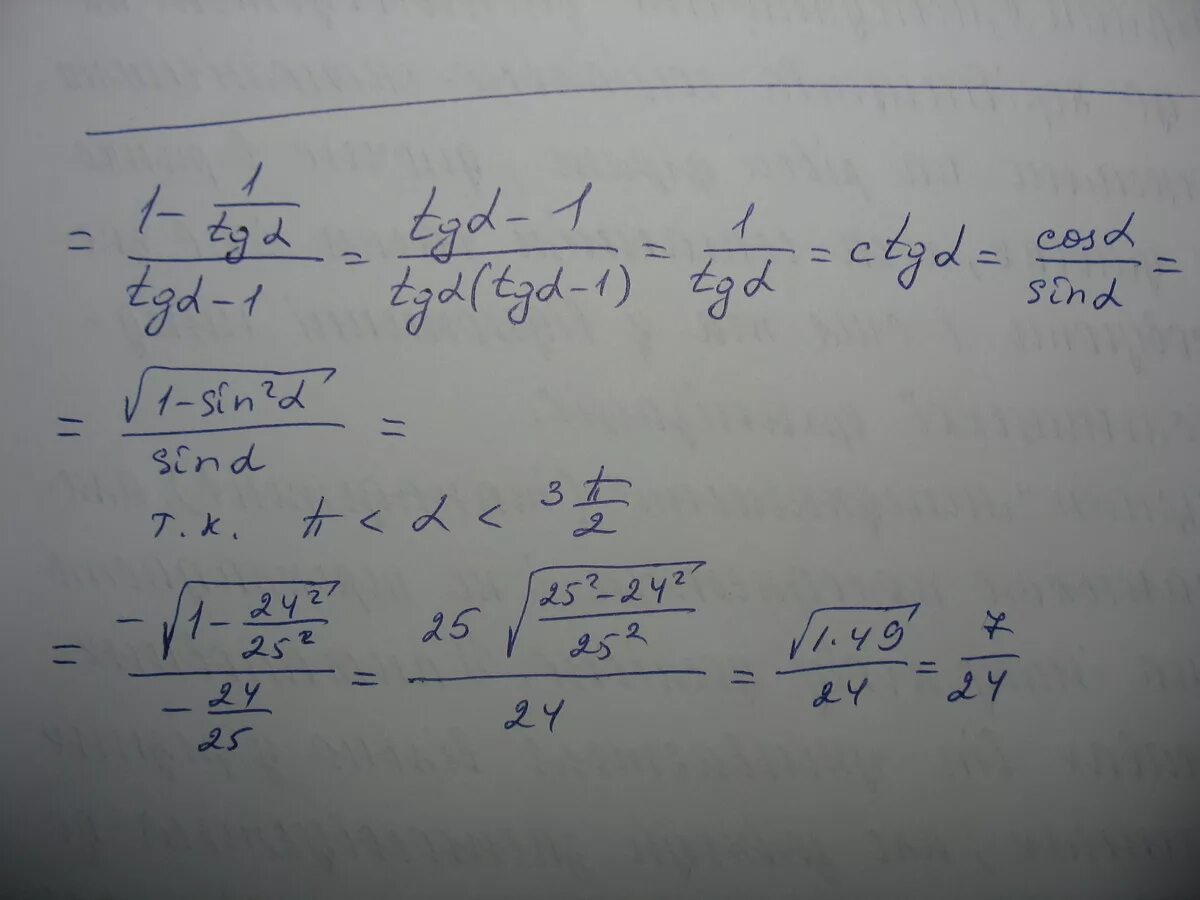
Вычислите 24 7 2