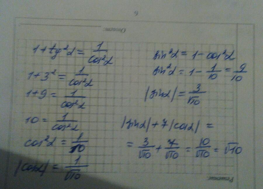
Вычислите 3 56 10