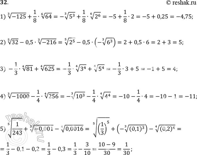
Вычислите 32 8 16