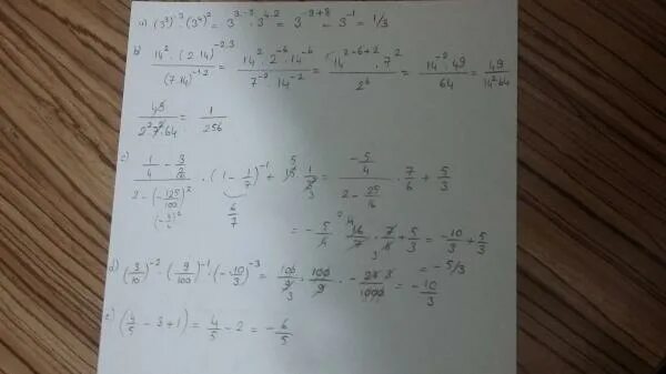
Вычислите 6 9 81