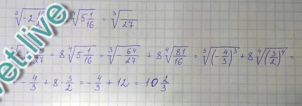
Вычислите а 5 б 10 8