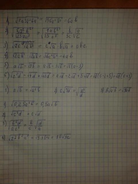
Вычислите c