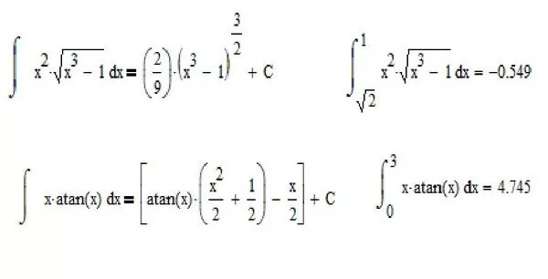
Вычислите интеграл 2x 1 x 2 dx