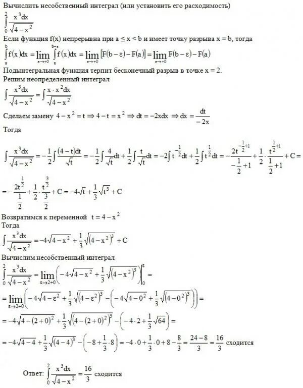
Вычислите интегралы 3x 4 dx