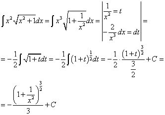
Вычислите интегралы x 2 dx