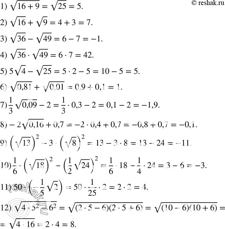
Вычислите корень 1 16