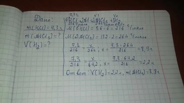
Вычислите массовую долю алюминия в alcl3