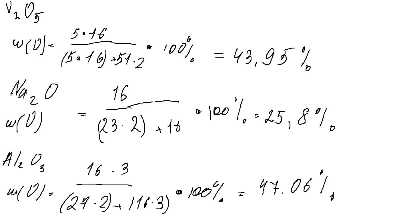
Вычислите массовую долю серебра в ag2o