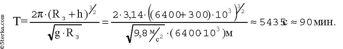
Вычислите период обращения спутника на высоте 300