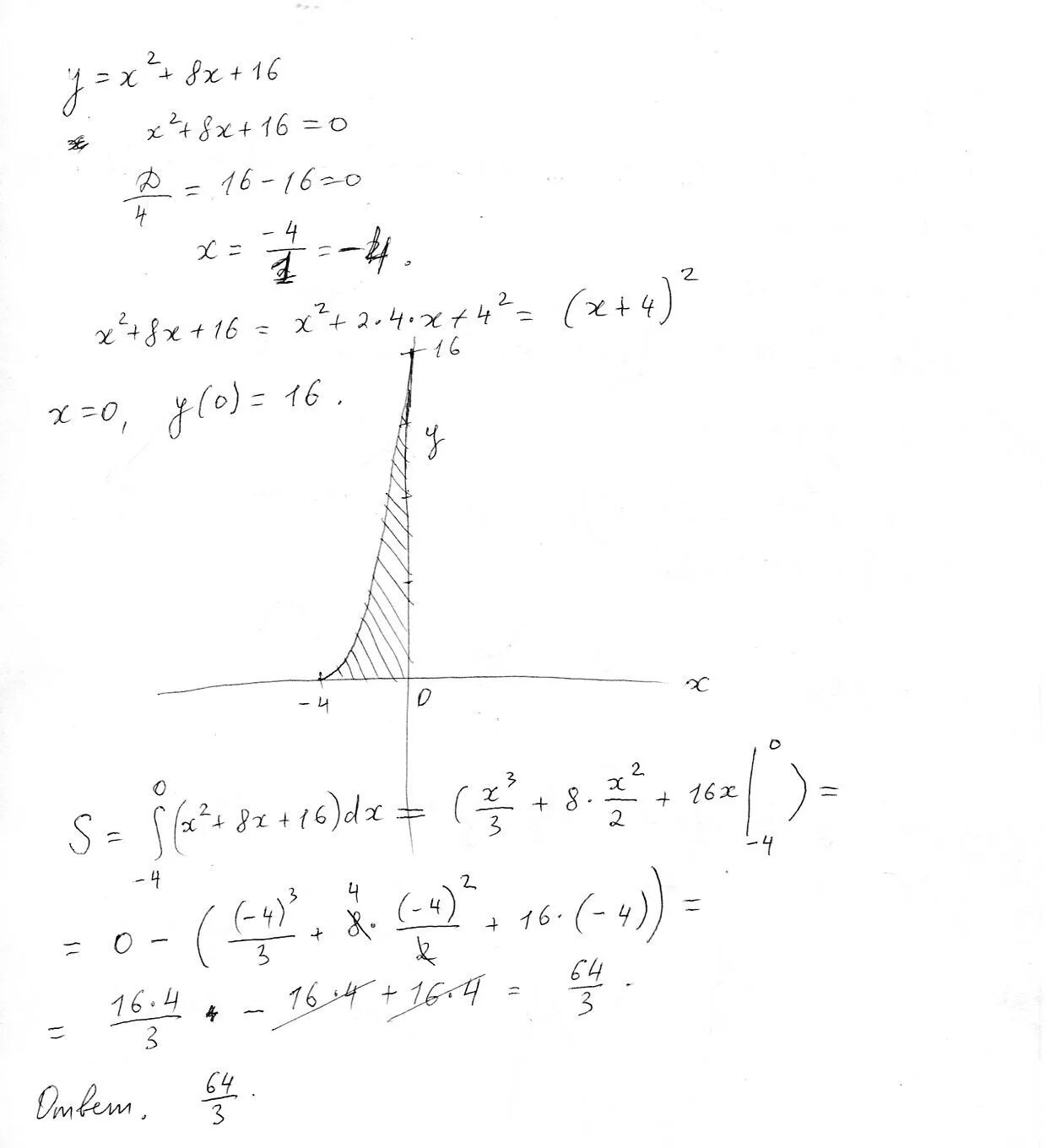
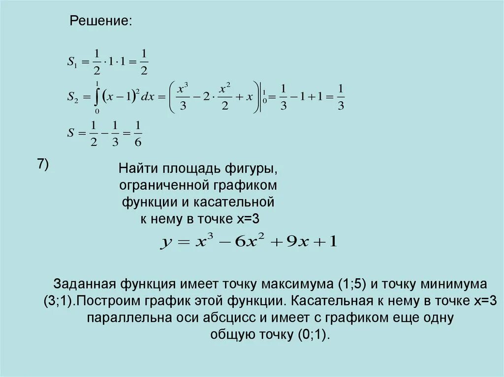
Вычислите площадь ограниченную параболой