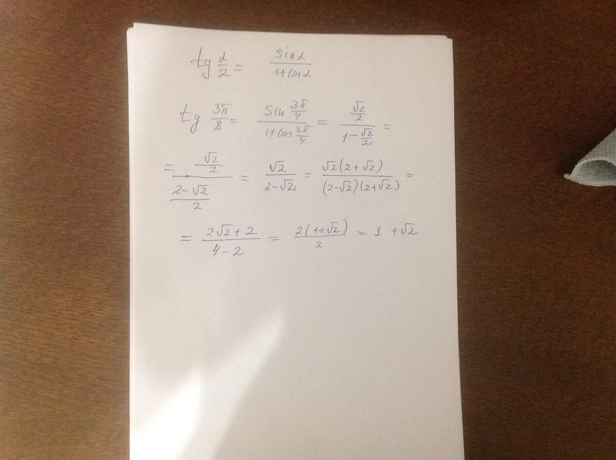
Вычислите tg 3