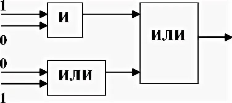
Выполните вычисления для приведенной логической схемы 1