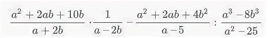
Выполните выражения 12 6