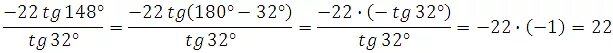
Выражения 22 1 22 1