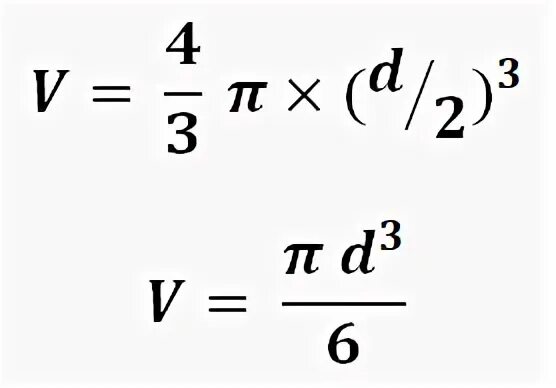
Выразить радиус