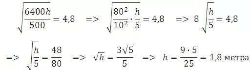
Выразите 4 км