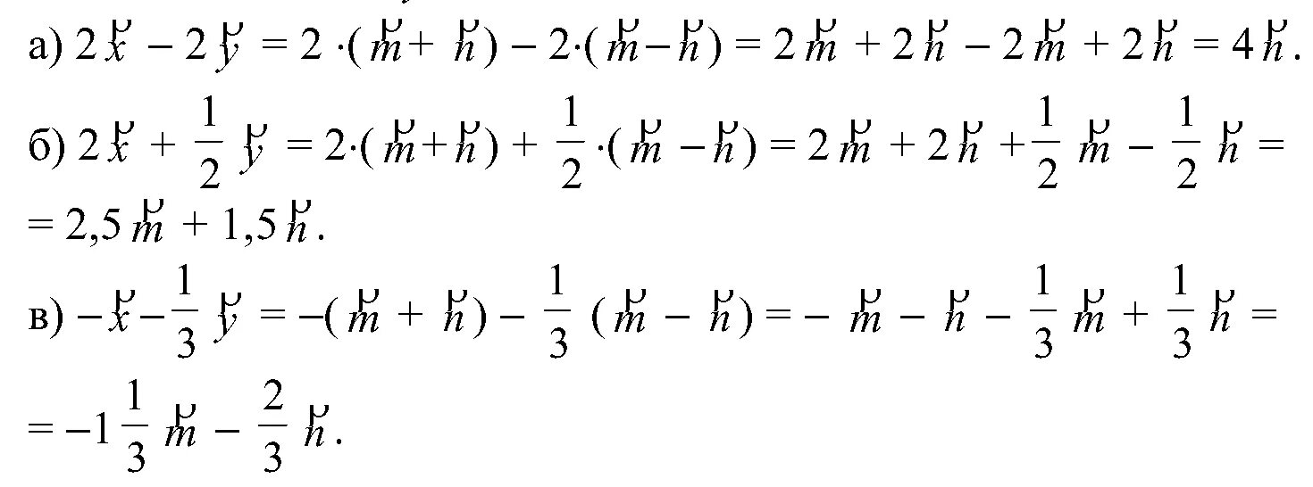
Выразите а через с