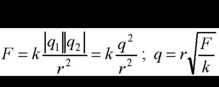
Выразите силу 0.8 в мн