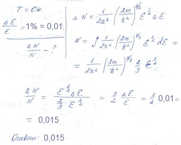
Выразите в электрон