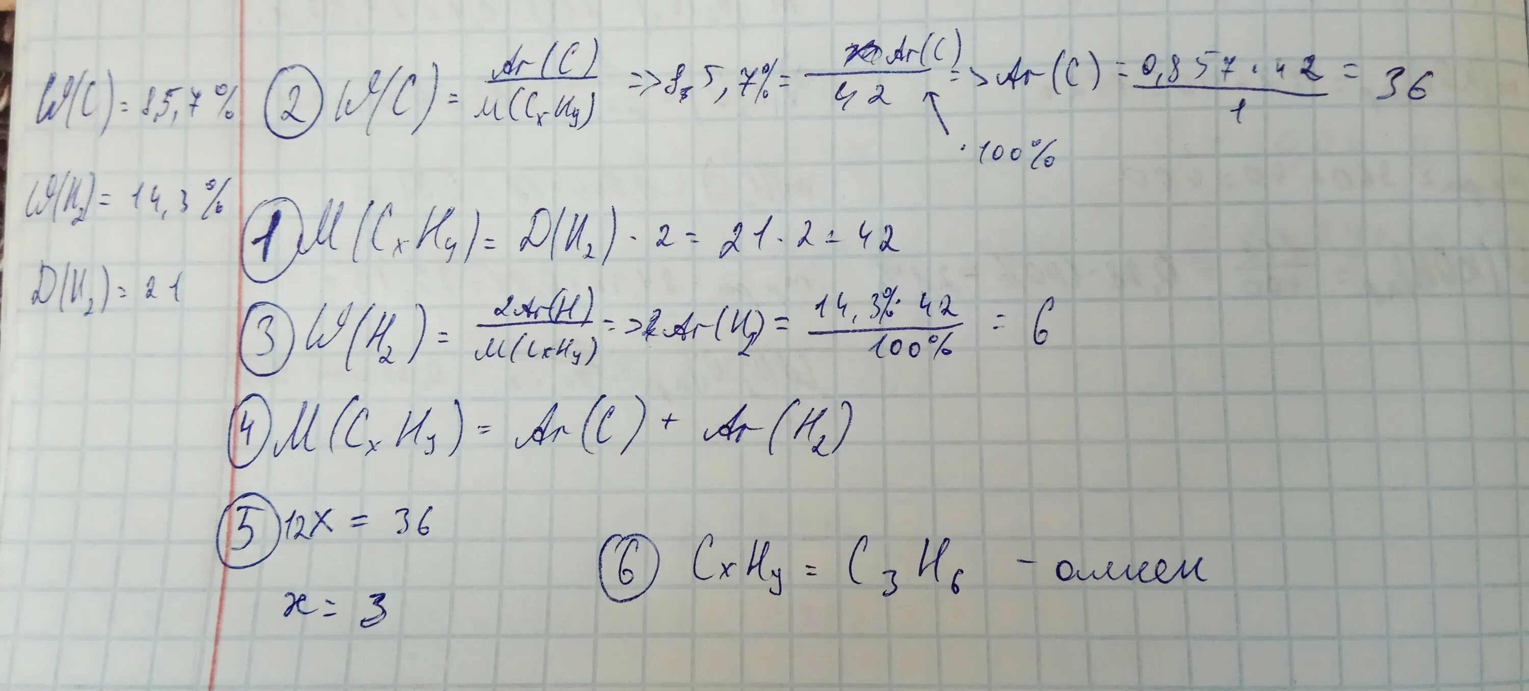
Выведите формулу вещества содержащего 85 7 углерода