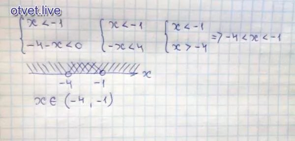
X 0.4