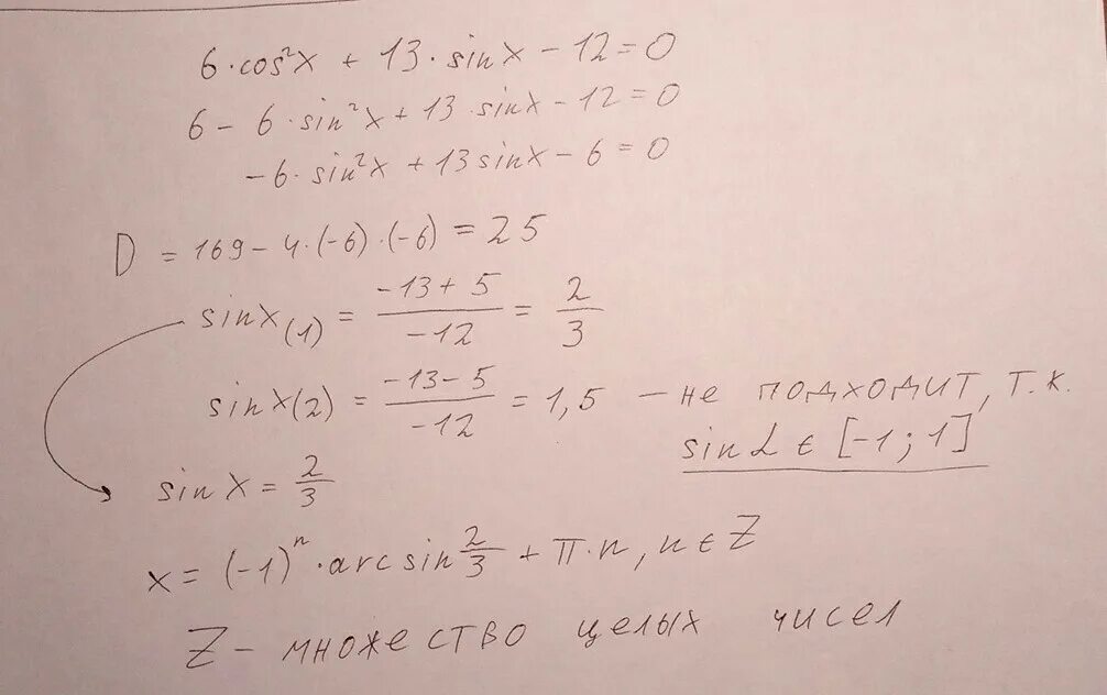
X 13 0