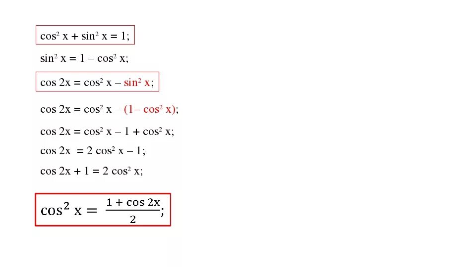
X 2 2x формула