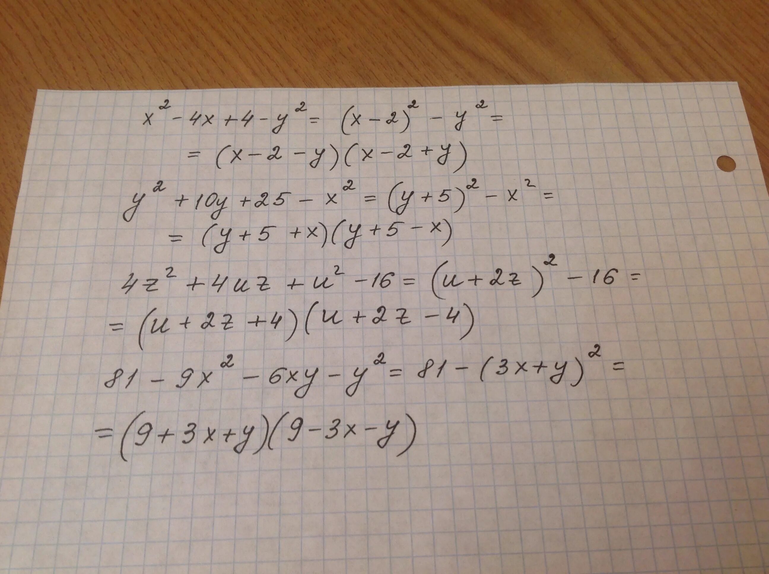
X 2 4x xy