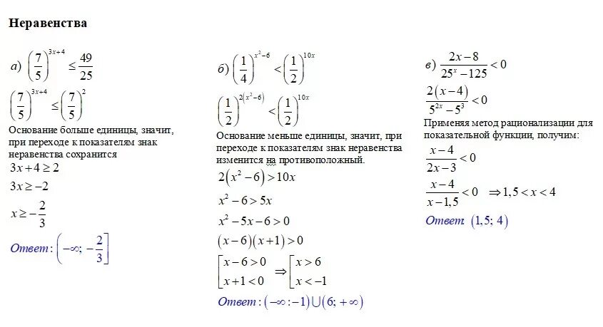
X 2 9 7 9 решение